优秀员工论文获得者
当前位置: 网站首页 - 人才培养 - 研究生教育 - 优秀员工论文获得者 - 正文

优秀博士学位论文微展——郑利剑

日期:2021年03月29日 15:40    作者:   来源:太阳成集团tyc122ccvip官网入口


一、基本信息

论文中文题目:

基于稳定同位素技术的蓄水坑灌下矮砧苹果树水分迁移机制研究

论文英文题目:

Moisture migration mechanism of dwarfing apple tree under water storage pit irrigation based on stable isotope technology

   者:郑利剑

指导教师:马娟娟 教授

培养单位:太阳成集团tyc122ccvip官网入口

   科:水利工程

读博感言:

我和谁都不争,和谁争我都不屑,用十年磨剑。

 

二、研究背景&选题意义&研究价值

在黄土高原苹果优势区推行果园节水灌溉技术是实现区域农业节水化的重要举措。这其中,蓄水坑灌作为一种适用于北方果林的新型灌溉技术,相关研究已证明了其具有促进果树根系深扎的作用。但深扎的根系吸收土壤水分的能力究竟有多大?所吸收的水分如何影响树体生长进而达到节水促产提质的效果?只有从系统论角度,搞清蓄水坑灌条件下苹果树根区土壤微环境变化与根系生长及吸水层位之间的相互作用机制,揭示苹果树不同生育阶段吸收利用不同土层水分的吸水特性及水分在地上部的迁移规律,阐释苹果树水分供应与地上部产量形成之间的响应关系以及在不同尺度的水分利用效率等,方能根据苹果树需水规律制定合理的灌溉制度。因此,亟需进行蓄水坑灌水分迁移机制的研究。

 

      蓄水坑灌示意图

三、主要研究内容

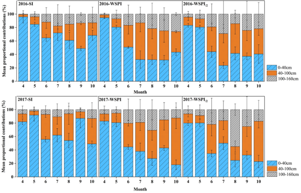
1.系统研究稳定同位素技术指示苹果树水分迁移的准确性,并结合根区土壤水热变化以及根系生长和微生物特征,量化不同蓄水坑灌处理和地面灌溉下苹果根系吸水深度变化,探究土壤微环境变化与根系吸水间的相互作用机制。

 

1 不同灌溉处理下各土层土壤水贡献率情况

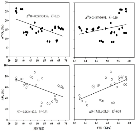
2.结合稳定同位素技术和相关水分生理参数,阐释蓄水坑灌下苹果树各生育阶段土壤水分供应与地上部生理指标变化的响应机制,建立基于气象因素的树干日最大收缩量的预测模型,探讨利用叶片水同位素指示树体水分状况的可行性。

 

2 叶片水稳定同位素与气象因子的相互关系

3.利用叶片碳稳定同位素并结合叶片荧光探针技术,明确基于叶片光合机理的蓄水坑灌节水增产机制,定量分析不同尺度下苹果树水分利用效率。

 

3不同处理下叶片碳稳定同位素比值变化

四、创新点

1复杂性视角探究稳定同位素技术研究蓄水坑灌下矮砧苹果树水分迁移的准确性。

2)引入稳定同位素技术,定量分析了果树根系吸水、树干水分运移和叶片用水耗水等相关过程。

3利用系统性观点阐释了蓄水坑灌下苹果树节水增产的光合机理。

 

五、代表性成果

1.Zheng Lijian, Ma Juanjuan, Sun Xihuan, Guo Xianghong, Li Yongye, Ren Rong, Chen Qiyun. Effective root growth zone of apple tree under water storage pit irrigation using stable isotope methodology [J]. Archives of Agronomy and Soil Science, 2019,65(11):1521-1535. (SCI)

2.Zheng Lijian, Ma Juanjuan, Sun Xihuan, Guo Xianghong, Jiang Jing, Ren Rong, Zhang Xuelan. Responses of photosynthesis, dry mass and carbon isotope discrimination in winter wheat to different irrigation depths [J]. Photosynthetica, 2018, 56(4): 1437-1446. (SCI)

3.Zheng Lijian, Ma Juanjuan, Sun Xihuan, Guo Xianghong, Cheng Qiyun, Shi Xiaokai. Estimating the Root Water Uptake of Surface-Irrigated Apples Using Water Stable Isotopes and the Hydrus-1D Model [J]. Water, 2018, 10(11):1624. (SCI)

4.郑利剑,马娟娟,郭飞,任荣,郭向红,孙西欢.基于水稳定同位素研究生物炭对土壤持水性的影响[J].农业机械学报,2016,47(6):193-198. (EI)

5.郑利剑,马娟娟,郭飞,任荣,郭向红,孙西欢.蓄水坑灌下矮砧苹果树水分监测点位置研究[J].农业机械学报,2015, 46(10):160-166. (EI)